
共振吸声结构目前主要有共振薄膜、穿孔板吸声结构和微穿孔板吸声结构。在穿孔板的穿孔直径减小到1mm以内时,这时需要考虑孔中的粘滞作用了,从而使得穿孔本身就具有足够的声阻和足够低的质量抗。因此微穿孔吸声结构不需要填充任何多孔吸声材料,就可以得到较为良好的宽带吸声,从而改变了普通穿孔板共振吸声结构的吸声频带窄的不足。微穿孔吸声结构是由我国著名声学专家马大猷院士在20世纪70年代首先提出,特别在20世纪90年代后期,微穿孔共振吸声结构被成功应用于德国新议会大厦以来,我国首创的这项科研成果才逐渐被国际声学界认识,并于21世纪在国际上形成这一领域的研究热潮。
1. 微穿孔吸声结构的吸声机理
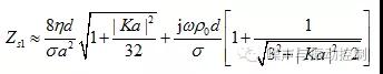
与普通穿孔板结构相比较,微穿孔板结构在吸声原理和频率特性等方面具有共同性,只不过其穿孔的声阻抗需要考虑声波的粘滞效应,对于穿孔率为σ的微穿孔板,其声阻抗率Zs1为:

对于微穿孔板同样考虑末端修正。其中质量抗的末端修正与普通穿孔板一样,将使管长增加16a/3π;而声阻的末端修正是由于空气进出微孔时,声阻将增加(8ωρη)1/2,将这些修正叠加到式(1),可得这时微孔板的声阻抗率为:

最后将空腔的声阻抗率叠加到式(2),就可以得到整个微穿孔吸声结构的声阻抗率,从而可以计算其法向吸声系数。
图1是空腔深度分别为20mm、40mm、60mm、80mm下的微穿孔板吸声性能的理论与实验对比。其中选取的微穿孔板参数为孔径0.7mm、厚度0.5mm、孔距4.9mm的金属铝板;实验测试方法为传递函数法。可以看到,二者取得了非常良好一致性。

图1微穿孔板吸声性能。a) D=20mm,b) D=40mm,c) D=60mm,d) D=80mm。
2. 微穿孔板吸声结构的设计方法
由图1可见,微穿孔吸声结构可以实现良好的中低频吸声并且它的吸声性能精确可控。同时微穿孔板对板材无要求,因此它还可以实现耐候、环保、耐火、美观以及可实现采光等特殊要求。上述这些优势为工程实际降噪带来了非常大的便利,因此微穿孔板吸声结构一经提出,就受到了广泛的应用。但从图1可以看到,目前一般的微穿孔金属铝板(孔径0.7mm,板厚0.5mm,穿孔率1.6%)的吸声频带一般只有2个倍频程。理想的吸声材料自然是希望在各个频率上都具有接近于1的吸声系数,并且本身具有轻薄结构。因此对微穿孔吸声结构而言,最主要的是设计微穿孔吸声结构的穿孔率、孔径、板厚和空腔厚度;从而得到满足实际要求的共振频率、最大吸声系数以及吸声频带,以设计出符合工程需求的微穿孔吸声结构。具体而言:
1) 微穿孔板吸声结构的共振频率主要由穿孔板的质量抗和空腔的容抗来决定。当空腔厚度一定后,质量抗基本正比于板厚反比于穿孔率。因此要想获得低的共振频率,就需要设计增大质量抗,即增大板的厚度和降低穿孔率。同时对于所有微穿孔板,其第一阶共振峰频率要低于c0/4D。
2) 微穿孔板吸声结构的最大吸声系数主要由微穿孔板的声阻决定。理论上对于孔径不超过2mm的穿孔板,要想设计其最大吸声系数达到1,可以通过减小穿孔率和增加板厚来实现。但这时的质量抗非常大,因此将得到较低的共振频率,即可实现低频吸声。因此普通穿孔板相比微穿孔而言,可获得更低的共振吸声频率。
3) 穿孔板吸声结构的吸声频带主要由声阻和质量抗来决定。质量抗越大,吸声频带越窄。因此要想降低质量抗,就需要增大穿孔率和减小板厚。但为了保证穿孔板的声阻,就只能减小孔径。这就是微穿孔板可以实现宽频带吸声的最根本原因。
4) 结合前面的分析可图1可知,微穿孔吸声结构的高阶吸声频带随阶次递增而减小,特别是随质量抗的增加而快速减小。这在图1b、c和d中得到了验证。只有当质量抗趋于零时,才可以保证高阶次的吸声频带。因此降低声质抗的意义不止是增宽了第一阶共振区域的频带,更为重要的是增大了后面几阶共振区域的吸声频带。而降低质量抗,为了保证吸声系数,就需要进一步降低孔径。
5) 在实际应用中,微穿孔板吸声结构的第一阶共振频率与吸声频带是矛盾的。降低第一阶共振吸声频带需要增大质量抗;而实现宽频吸声则要降低质量抗。因此实际中,就需要对具体情况进行考虑了。
同时,由于余切函数的特性,微穿孔板吸声结构下半宽吸声频带一般小于上半宽吸声频带,即:Ω2<Ω1。这在图1中得到了验证。
![]() |
|
|